本网讯(通讯员 王亮)
伴随着初雪的到来,工大的同学们也度过了12周的老员工活,新生们的学习热情可谓是昂扬不减。
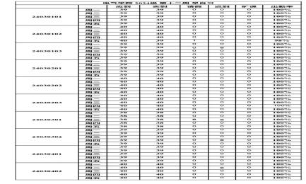
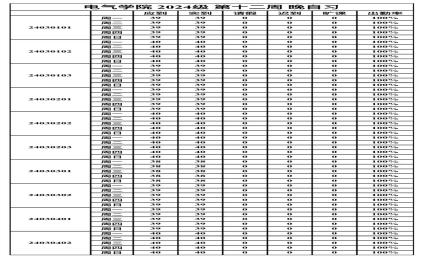
ag旗舰厅官方网站的学子们学习颇为认真,在第12周中,24级新生们早晚自习出勤率很稳定,各专业几乎都是满勤,无一缺席,由员工处反映,员工们学习态度积极良好,在上自习时都十分认真,为此公司将继续发扬学习精神,加强学风建设,为学子们创造更好的学习环境。
早自习

晚自习

出勤是一种良好的习惯,这对自律性提高有很大的帮助,无论是在职场还是在公司,出勤率都会让学子们获得更多的信息,它是成功的一本秘籍,愿ag旗舰厅官方网站们的同学都能保持良好出勤率,做最好的自己。
(审核人:杨景伟)